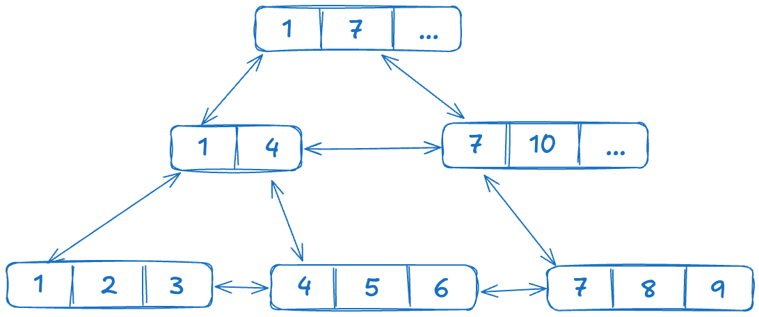
Сбалансированное сильно-ветвистое дерево позволяет хранить в узле множество значений, что делает его эффективным для работы с большими объемами данных.

Структура B-tree индекса.excalidraw
Основные особенности B-tree
- Узел содержит множество элементов, что позволяет хранить больше данных в одном месте.
- Каждый узел представляет собой страничку на диске, что снижает издержки на чтение.
- В каждом узле есть ссылки на следующий и предыдущий узлы (характерно для B+tree). Это сильно помогает с поиском по диапазонам.
- В листьях дерева могут храниться сами данные или указатели на данные, то есть ссылаются на таблицу.
- Элементы в узле отсортированы, что делает поиск более эффективным и позволяет создавать деревья с небольшой высотой, тем самым уменьшая количество обращений к диску.
- Значения в узлах могут быть не уникальными.
- Обычно высота дерева не больше 3-4 уровней.
Параметр t
Параметр t определяет количество элементов в узле дерева.
- В каждом узле должно быть не менее
t-1и не более2t-1ключей. Это правило важно для поддержания сбалансированности дерева, так как позволяет равномерно распределять элементы между узлами и поддерживать эффективную высоту дерева, что, в свою очередь, обеспечивает высокую производительность операций поиска. - Это правило не выполняется для корневого узла.
Как выбрать t: значение t влияет на высоту дерева — большее значение уменьшает высоту, что снижает количество обращений к диску. Обычно t выбирается в диапазоне от 50 до 2000 в зависимости от размера блока на диске и объема оперативной памяти. Например, при t = 1001 и 1 млрд записей требуется всего 3 операции для поиска любого ключа.
Применение B-tree
С чем может помочь:
- Поиск по равенству:
a = 5 - Поиск по открытому диапазону:
a > 5илиa < 3 - Поиск по закрытому диапазону:
3 < a < 8 - LIKE работает с индексами по префиксам (
LIKE 'a%'— эффективно)
С чем НЕ поможет: - Поиск четных или нечетных чисел.
- Поиск суффиксов (
LIKE '%c'— неэффективно).
Поиск в B-tree
Алгоритм поиска аналогичен бинарному дереву, но выбор осуществляется из нескольких вариантов, а не из двух. Поиск выполняется за O(t logt(n)), но количество обращений к диску — O(logt(n)).
Рассмотрим пример поиска значения 5. Начинаем с корневого узла, он всегда один. 5 больше 1, но меньше 7, поэтому идем в левую часть дерева.

Поиск в B-tree индексе 1.excalidraw
Видим, что 5 больше чем 4, поэтому идем по ссылке на 4.

Поиск в B-tree индексе 2.excalidraw
И там уже мы находим нашу 5.

Поиск в B-tree индексе 3.excalidraw
Значения в узлах могут быть не уникальными. Например, если значение 5 встречается дважды, поиск продолжается, переходя в следующий узел. Чтобы облегчить этот процесс, блоки на одном уровне связаны, создавая связный список.
Добавление в B-tree
Представим, что нужно вставить значение 15 в уже существующее дерево.


Вставка должна произойти между значениями 4 и 17. Узел 7...16 переполнен (t = 3, максимум 5 значений), поэтому узел разбивается начиная с t-1 элемента (в данном случае 11). Элемент, по которому происходит разбиение, перемещается в родительский узел. Если родительский узел переполняется, он тоже разбивается, и так далее.
После вставки мы получим следующее дерево

Удаление из B-tree
Удаление элемента из B-tree требует поддержания минимального количества ключей в узле для сохранения сбалансированности дерева и его эффективной высоты. Например, при удалении элемента, если количество ключей в узле становится меньше t-1, выполняется перераспределение элементов из соседних узлов или их слияние, чтобы поддерживать сбалансированность. Существует несколько сценариев удаления:
- Удаление из листового узла: Если элемент находится в листовом узле и после его удаления остается не менее
t-1элементов, узел остается без изменений. - Удаление из внутреннего узла: Если удаляемый элемент находится во внутреннем узле, он заменяется на наибольший элемент в левом поддереве или наименьший элемент в правом поддереве. После этого выполняется удаление из листового узла.
- Перераспределение и слияние узлов: Если после удаления в узле остается меньше
t-1элементов, выполняется перераспределение элементов из соседнего узла или слияние с соседним узлом.
Мета информация
Область:: 00 Разработка, 00 Алгоритм
Родитель:: Tree
Источник::
Автор::
Создана:: 2024-01-29